ORE Gravity distribution ONline OREGON
El monitor de lavabilidad OREGON fue desarrollado especialmente para la preparación de minerales y carbón. Este dispositivo determina los parámetros de las materias primas necesarios para una preparación eficiente en poco tiempo y funciona sin ningún producto químico.
El monitor de lavabilidad utiliza una combinación de análisis de imágenes ópticas y radiométricas.
Como norma, el mineral y la plataforma se separan por diferencias de densidad. La plataforma pura tiene una densidad que difiere notablemente de la densidad del mineral puro. Sin embargo, las partículas de materia prima son una mezcla de ambas y, por lo tanto, la densidad se sitúa en un punto intermedio. La molienda de las partículas purifica las partículas como mineral o estante, pero la molienda es intensa en energía y costes y, por lo tanto, no es deseable.
OREGON determina en un flujo parcial la distribución de la densidad en función del tamaño de las partículas; de esta forma se puede determinar el mejor punto de ajuste para la separación de las dos fracciones.
La muestra que se va a analizar se hace pasar por una pequeña cinta transportadora:
En primer lugar, se evalúa ópticamente la distribución del tamaño de las partículas. Para ello, se determina el tamaño de las partículas (3 dimensiones) y el volumen de cada partícula individual mediante triangulación láser en la cinta transportadora.
Todas las medidas de las partículas se almacenan en una base de datos.
En un segundo paso se analiza la distribución de la densidad mediante una trayectoria de medición de rayos X. La distribución de radiación medida se utiliza para determinar la distribución de peso (masa por área) de cada partícula y también se almacena en la base de datos. La medición es muy similar a un examen médico Rayos X. Los huesos que tienen una alta densidad absorben la radiación más fuerte que la carne donde la densidad es menor.
Por lo tanto, los huesos se muestran más brillantes que la carne en las imágenes de rayos X. Básicamente, esta imagen no muestra la densidad sino la masa por área que fue transmitida por la radiación. Finalmente, la combinación de ambas mediciones (óptica y radiométrica) da la densidad de cada partícula.
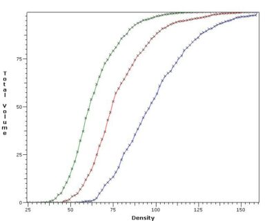
Dado que la información sobre cada partícula se almacena en una base de datos y puede recuperarse fácilmente, la evaluación de la muestra puede realizarse utilizando diferentes criterios. Además de las funciones de distribución, como la masa frente a la densidad o el volumen frente a la densidad, también pueden evaluarse los parámetros geométricos. Los valores atípicos pueden ser fácilmente identificados y evaluados con sólo un clic en el punto de datos.
Opcionalmente, las partículas pueden ser clasificadas al final de la cinta según su tamaño o densidad para su posterior evaluación. También se puede disponer de trayectorias de medición adicionales.
La evaluación de los datos medidos se realiza con el software RACCOON.






